多肽FWVEL的参数和合成路线|三字母为Phe-Trp-Val-Glu-Leu|专肽生物产品-定制多肽合成服务
一、Phe-Trp-Val-Glu-Leu的结构图如下

二、Phe-Trp-Val-Glu-Leu的多肽参数如下
单字母:H2N-FWVEL-OH
三字母:H2N-Phe-Trp-Val-Glu-Leu-COOH
中文序列:苯丙氨酸-色氨酸-缬氨酸-谷氨酸-亮氨酸
氨基酸个数:5
分子式:C36H48N6O8
平均分子量:692.8
精确分子量(Exact Mass):692.35
等电点(PI):3.85
pH=7.0时的净电荷数:-1.02
GRAVY值:1.28
亲水残基比例:-
消光系数:5500
平均亲水性及多肽溶解建议:疏水(该多肽在水中的溶解性一般,可选择以下方式助溶: 1、调整溶液的PH助溶(含Cys等氨基酸尽量不调为碱性) 2、超声助溶(含Cys、Ser等氨基酸需减少超声时间) 3、加热助溶(溶液温度≤30℃) 4、添加助溶剂(如DMSO,DMF等,建议遵循先有机溶液后无机溶液的原则)。 5、对于碱性肽,建议用10%乙酸溶解,对于酸性肽,建议用5-10%氨水溶解。
三、H2N-FWVEL-OH的静电荷图
四、多肽Phe-Trp-Val-Glu-Leu的亲疏水比例统计(条形图)


五、多肽Phe-Trp-Val-Glu-Leu的亲疏水性氨基酸、极性非极性氨基酸、酸碱性氨基酸的统计(扇形图)

六、多肽Phe-Trp-Val-Glu-Leu的合成步骤:
1、合成CTC树脂:称取0.3g CTC Resin(如初始取代度约为1.0mmol/g)和0.4 mmol的Fmoc-Leu-OH于反应器中,加入适量DCM溶解氨基酸(需要注意,此时CTC树脂体积会增大好几倍,避免DCM溶液过少),再加入树脂0.9 mmol的DIPEA((Mw:129.1,d:0.740g/ml)),反应2-3小时后,可不抽滤溶液,直接加入1ml的HPLC级甲醇,封端半小时。依次用DMF洗涤2次,甲醇洗涤1次,DCM洗涤一次,甲醇洗涤一次,DCM洗涤一次,DMF洗涤2次(这里使用甲醇和DCM交替洗涤,是为了更好地去除其他溶质,有利于后续反应)。得到Fmoc-Leu-CTC Resin备用。结构图如下:

2、脱Fmoc:加3倍树脂体积的20%Pip/DMF溶液,鼓氮气30分钟,然后2倍树脂体积的DMF 洗涤5次。得到H2N-Leu-CTC Resin。(此步骤脱除Fmoc基团,茚三酮检测为蓝色)。结构图如下:

3、缩合:取2.7mmol Fmoc-Glu(OtBu)-OH 氨基酸,加入到上述树脂里,加适当DMF溶解氨基酸,再分别加入1.8mmol DIPEA,1.67mmol HBTU。反应30分钟后,用2倍树脂体积的DMF 洗涤3次树脂。(洗涤树脂,去掉残留溶剂,为下一步反应做准备)。得到Fmoc-Glu(OtBu)-Leu-CTC Resin。氨基酸:DIPEA:HBTU:树脂=3:6:2.85:1(摩尔比)。结构图如下:

4、依次循环步骤二、步骤三,依次得到
H2N-Glu(OtBu)-Leu-CTC Resin
Fmoc-Val-Glu(OtBu)-Leu-CTC Resin
H2N-Val-Glu(OtBu)-Leu-CTC Resin
Fmoc-Trp(Boc)-Val-Glu(OtBu)-Leu-CTC Resin
H2N-Trp(Boc)-Val-Glu(OtBu)-Leu-CTC Resin
Fmoc-Phe-Trp(Boc)-Val-Glu(OtBu)-Leu-CTC Resin
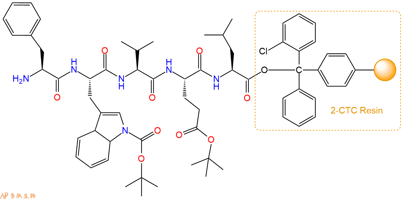
最后再经过步骤二得到 H2N-Phe-Trp(Boc)-Val-Glu(OtBu)-Leu-CTC Resin,结构如如下:

5、切割:6倍树脂体积的切割液(或每1g树脂加8ml左右的切割液),摇床摇晃 2小时,过滤掉树脂,用冰无水乙醚沉淀滤液,并用冰无水乙醚洗涤沉淀物3次,最后将沉淀物放真空干燥釜中,常温干燥24小试,得到粗品 Ala-Cys-Asp-Glu-Arg。
切割液选择:1)TFA:H2O=95%:5%、TFA:H2O=97.5%:2.5%
2)TFA:H2O:TIS=95%:2.5%:2.5%
3)三氟乙酸:茴香硫醚:1,2-乙二硫醇:苯酚:水=87.5%:5%:2.5%:2.5%:2.5%
(前两种适合没有容易氧化的氨基酸,例如Trp、Cys、Met。第三种适合几乎所有的序列。)
6、纯化冻干:使用液相色谱纯化,收集目标峰液体,进行冻干,获得蓬松的粉末状固体多肽。不过这时要取小样复测下纯度 是否目标纯度。





